Next: Empirische Verteilungsfunktion
Up: Ordnungsstatistiken
Previous: Absolutstetige Stichprobenvariablen
  Contents
Beispiel: gleichverteilte Stichprobenvariablen
- Wir illustrieren nun die in Abschnitt 1.4.2
hergeleiteten Ergebnisse für das folgende Beispiel; vgl. auch
Übungsaufgabe 3.3.
- Die Stichprobenvariablen
seien gleichverteilt im
Intervall
für ein
, d.h.
- Dichte, Erwartungswert und Varianz von
- Aus Theorem 1.15 ergibt sich durch Einsetzen in
(53), daß
- Hieraus folgt insbesondere, daß

und
- Gemeinsame Dichte von
und
- Aus Theorem 1.16 ergibt sich durch Einsetzen in
(55), daß für
 |
(57) |
- Gemeinsame Dichte von
und
- Wir betrachten nun die Stichprobenspannweite
und das arithmetische Mittel
der
extremalen Ordnungsstatistiken
und
.
- Ähnlich wie das Stichprobenmittel
bzw. der
Stichprobenmedian
ist auch das Mittel
eine sogenannte
Lokationskenngröße.
- Für die gemeinsame Dichte
des
Zufallsvektors
gilt
 |
(58) |
- Dabei ergibt sich (58) aus (57)
und aus dem in Theorem 1.9 angegebenen
Transformationssatz für die Dichte von absolutstetigen
Zufallsvektoren.
- Denn durch die Abbildung
mit
wird die Menge
auf die Menge
abgebildet, und
- für die Umkehrabbildung
mit
ist die Jacobi-Determinante gleich
.
- Dichte von
- Für die (Rand-) Dichte
von
gilt
 |
(59) |
- denn aus (58) und aus Theorem WR-3.9 über die
Integraldarstellung von Randdichten ergibt sich, daß für jedes
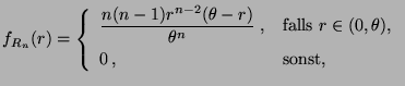
- Dichte von
- Auf die gleiche Weise wie bei der Herleitung von
(59) kann man zeigen, daß
 |
(60) |
- denn aus (58) ergibt sich, daß für
bzw. für
Next: Empirische Verteilungsfunktion
Up: Ordnungsstatistiken
Previous: Absolutstetige Stichprobenvariablen
  Contents
Roland Maier
2003-03-06