Next: Güteeigenschaften von Punktschätzern
Up: Methoden zur Gewinnung von
Previous: Maximum-Likelihood-Schätzer
  Contents
Bayes-Schätzer
- Zur Erinnerung: Bei der Momenten-Methode in
Abschnitt 2.2.1 und auch bei der
Maximum-Likelihood-Methode in Abschnitt 2.2.2
betrachteten wir das parametrische Modell, das in
Abschnitt 2.1 eingeführt worden ist.
- Dabei setzten wir voraus, daß die Verteilungsfunktion
der
Stichprobenvariablen
zu
einer vorgegebenen (d.h. bekannten) parametrischen Familie von
Verteilungsfunktionen
gehört.
- Mit anderen Worten:
Es wurde angenommen, daß
für ein
,
wobei der Parametervektor
(bzw. ein Teil seiner Komponenten) unbekannt sei
und aus den beobachteten Daten
geschätzt
werden soll.
- Wir modifizieren nun dieses parametrische Modell folgendermaßen.
- Anstelle der bisherigen Modellannahme, daß der Parameter
ein zwar unbekannter, jedoch deterministischer Vektor ist, setzen
wir jetzt voraus, daß der Parameter selbst ein Zufallsvektor ist,
den wir mit
bezeichnen.
- Dabei nehmen wir an, daß wir bereits (vor der Erhebung von Daten)
eine gewisse Vorkenntnis über die Verteilung von
besitzen.
- Diese Vorkenntnis modellieren wir durch eine Verteilung
über dem Parameterraum
, die wir a-priori-Verteilung von
nennen.
- Beachte
-
- Definition
(a-posteriori-Verteilung)
- Beachte
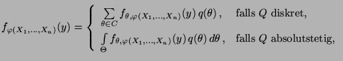
Die Funktion
kann als
bedingte Wahrscheinlichkeitsfunktion bzw. bedingte Dichte von
angesehen werden, unter der Bedingung, daß
, denn
- die Likelihood-Funktion
können wir als
bedingte Wahrscheinlichkeitsfunktion bzw. bedingte Dichte von
ansehen, unter der Bedingung, daß
,
- das Produkt
als die
gemeinsame (unbedingte) Wahrscheinlichkeitsfunktion bzw. Dichte
des Zufallsvektors
, und
- die in (18) gegebene Funktion
als die (Rand-) Wahrscheinlichkeitsfunktion bzw. Dichte von
.
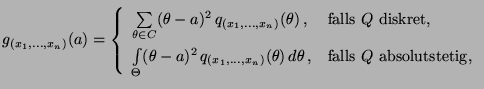
- Definition
(Bayes-Schätzer)
Man kann zeigen (vgl. Übungsaufgabe WR-8.3), daß der in
(20) gegebene Schätzwert
den mittleren
quadratischen Fehler
minimiert, d.h., es gilt
für jedes
, vgl. auch Abschnitt 2.3.1.
- Beachte
-
- Beispiel
(Bernoulli-verteilte
Stichprobenvariablen)
- Betrachten die Familie
Bin
der Bernoulli-Verteilungen.
- Die a-priori-Verteilung von
sei die
Betaverteilung Beta
, wobei die Parameter
vorgegeben seien.
- Die a-priori-Dichte
von
ist
also gegeben durch
![$\displaystyle q(p)=\frac{\Gamma(\alpha+\beta)}{\Gamma(\alpha)\Gamma(\beta)}p^{\alpha-1}(1-p)^{\beta-1}\,,
\qquad\forall\,p\in[0,1]\,.$](img825.png) |
(22) |
- Wir betrachten die Stichprobenfunktion
, d.h.,
ist die Anzahl der ,,Erfolge'' bei
Versuchen.
- Dann gilt für jedes
und somit
- Für die a-posteriori Dichte
von
ergibt sich hieraus, daß
für beliebige
und
.
- Dies ist die Dichte der Betaverteilung Beta
.
- Für den Erwartungswert
dieser Verteilung gilt
- Dies ergibt den Bayes-Schätzer
mit
bzw.
 |
(23) |
- Der Bayes-Schätzer
ist also eine
Linearkombination
- des Erwartungswertes
der
a-priori-Verteilung von
, der ein natürlicher
Schätzer wäre, wenn wir über keinerlei Daten verfügen würden, und
- des Stichprobenmittels
, das ein natürlicher Schätzer wäre,
wenn keine a-priori-Verteilung von
zur Verfügung
stehen würde.
Next: Güteeigenschaften von Punktschätzern
Up: Methoden zur Gewinnung von
Previous: Maximum-Likelihood-Schätzer
  Contents
Roland Maier
2003-03-06