Next: Weitere Konfidenzintervalle bei Normalverteilung
Up: Konfidenzintervalle
Previous: Konfidenzintervalle bei Normalverteilung; Quantilfunktion
  Contents
Statistische Prüfverteilungen
Außer der Quantilfunktion der Standardnormalverteilung werden bei
der Bestimmung von Konfidenzintervallen bei normalverteilten
Stichprobenvariablen die Quantilfunktionen weiterer Verteilungen
benötigt.
Dabei werden insbesondere sogenannte Prüfverteilungen
betrachtet, die wie folgt definiert sind.
- Definition 5.22
Seien
beliebige Zahlen und seien
unabhängige und
N
-verteilte Zufallsvariable. Dann heißt die Verteilung von
Die Theoreme 3.22 bzw. 3.23 weisen einen Weg, wie man ausgehend
von der in (3.6) eingeführten Dichte der
Standardnormalverteilung zu Formeln für die Dichten der
-Verteilung, t-Verteilung bzw. F-Verteilung gelangen kann.
Dabei ergibt sich insbesondere
- Theorem 5.23
Sei
eine beliebige Zahl. Dann sind die Dichten der
Zufallsvariablen
und
t
gegeben
durch
 |
(46) |
bzw.
 |
(47) |
für jedes
, wobei
die
Gammafunktion mit
 |
(48) |
bezeichnet;
,
,
.
Wir bestimmen nun die (gemeinsame) Verteilung des
Stichprobenmittels
und der Stichprobenvarianz
bei normalverteilten Stichprobenvariablen
.
- Theorem 5.24
Sei
eine
normalverteilte Zufallsstichprobe mit
N
.
Dann sind

und
unabhängige Zufallsvariable, und es gilt
bzw. |
(49) |
- Beweis
-
- Der Nachweis der Unabhängigkeit von
und
erfordert Hilfsmittel, die über den Rahmen dieser einführenden
Vorlesung hinausgehen.
- Andererseits kann man sich leicht überlegen, daß
N
, vgl. das Beispiel in
Abschnitt 3.6.2 bzw. den Kommentar nach Theorem 3.22.
- Wir skizzieren hier lediglich eine Begründung für die Gültigkeit
von
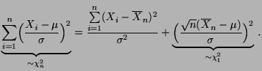
- Offenbar gilt die Identität
- Hieraus ergibt sich, daß
- Weil die beiden Summanden auf der rechten Seite dieser Gleichung
unabhängig sind, ergibt sich nun aus der Definition der
-Verteilung, daß der erste Summand auf der rechten Seite
-verteilt ist.
- Korollar 5.25
Sei
eine normalverteilte Zufallsstichprobe mit
N
. Dann gilt
 |
(50) |
- Beweis
Weil die Zufallsvariablen
und
unabhängig
sind (vgl. Theorem 5.24), kann man sich leicht überlegen, daß auch
die Zufallsvariablen
und
unabhängig sind.
Deshalb ergibt sich unmittelbar aus der Definition 5.22 der
t-Verteilung, daß
- Beachte
-
Next: Weitere Konfidenzintervalle bei Normalverteilung
Up: Konfidenzintervalle
Previous: Konfidenzintervalle bei Normalverteilung; Quantilfunktion
  Contents
Roland Maier
2001-08-20