Next: Konfidenzbereiche; Prognose von Zielvariablen
Up: Normalverteilte Störgrößen
Previous: Verteilungs- und Unabhängigkeitseigenschaften linearer
  Contents
Tests für die Regressionskoeffizienten;
Quadratsummenzerlegung
- Mit Hilfe der Verteilungs- und Unabhängigkeitseigenschaften von
linearen bzw. quadratischen Formen normalverteilter
Zufallsvektoren, die in den Abschnitten 3.3.2 -
3.3.4 hergeleitet wurden, kann man t-Tests bzw.
F-Tests zur Verifizierung von Hypothesen über die
Regressionskoeffizienten
konstruieren.
- Zur Erinnerung: Es gilt
 |
(77) |
bzw.
 |
(78) |
wobei die Zufallsvariablen
und
unabhängig
sind.
Zunächst testen wir Hypothesen über einzelne Komponenten des
Parametervektors
.
- Beachte
-
Auf ähnliche Weise ergibt sich der folgende (simultane) F-Test,
der auch Test auf Gesamtzusammenhang bzw. Test auf
Signifikanz des Modells genannt wird.
- Dabei wird die Hypothese
(gegen die
Alternative
für ein
)
getestet.
- Die Wahl der Testgröße ist durch die folgende Quadratsummenzerlegung motiviert; vgl. auch
Abschnitt 2.2.4.
- Beweis
-
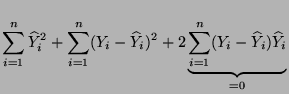
- Es gilt
- Dabei ergibt sich die vorletzte Gleichheit aus der folgenden
Überlegung: Wegen (77) gilt
und somit
- Beachte
-
- Der erste Summand
auf der
rechten Seite von (82) ist die quadrierte Länge des
Vektors
der durch die
Regression geschätzten Zielwerte
.
- Die zweite Komponente der Quadratsummenzerlegung
(82), d.h. die Summe der Abweichungsquadrate
wird manchmal auch Reststreuung genannt.
- Aus unserer generellen Modellannahme, daß die Designmatrix
vollen Rang hat, d.h.
, ergibt sich die Ungleichung
falls die Hypothese
falsch ist.
- Deshalb ist es naheliegend, die Hypothese
abzulehnen, falls
die quadrierte Länge
des
Zufallsvektors
hinreichend
groß ist.
- Dabei wird bei der Entscheidung, was ,,hinreichend groß'' ist,
auch die Variabilität der Daten berücksichtigt, d.h., es wird der
Quotient von
und der Summe der
Abweichungsquadrate
betrachtet.
- Genauer gesagt: Wir betrachten die folgende Testgröße
 |
(83) |
- Um einen auf
basierenden Test der Hypothese
konstruieren zu können, muß
zunächst die Verteilung der Testgröße
bestimmt
werden.
Theorem 3.18

Unter

gilt

, d.h., die in

gegebene Testgröße

ist F-verteilt mit

Freiheitsgraden.
- Beweis
-
- Beachte
-
Die bisher in diesem Abschnitt betrachteten Tests sind
Spezialfälle des folgenden universellen Tests. Dabei wird
lediglich ein Teil der Komponenten des Parametervektors
getestet.
- Seien
und
beliebige, jedoch fest
vorgegebene Zahlen.
- Es soll nun die Hypothese
getestet werden.
- Hierfür betrachten wir die folgende
-dimensionale Teilmatrix
der Matrix
mit
- Außerdem betrachten wir den Teilvektor
des
Zufallsvektors
.
- Ein Ansatz zur Lösung des Testproblems (87) ist
durch die Testgröße
 |
(88) |
gegeben, wobei
.
- Man kann nämlich zeigen, daß unter der in (87)
formulierten Nullhypothese
 |
(89) |
gilt (vgl. Übungsaufgabe 9.2 bzw. das folgende
Theorem 3.19). Die Hypothese
wird somit abgelehnt, falls
 |
(90) |
Wir diskutieren nun noch einen Test für Linearformen des
Parametervektors
, der eine
weitere Verallgemeinerung der bisher in diesem Abschnitt
betrachteten Tests ist.
Lemma 3.15
- Seien
beliebige natürliche Zahlen mit
.
Sei
eine symmetrische und positiv definite
Matrix, und sei
eine
Matrix mit vollem Rang
.
- Dann sind auch die Matrizen
und
positiv definit.
- Beweis
-
Theorem 3.19

Unter

gilt

, d.h., die in

gegebene Testgröße

ist F-verteilt mit

Freiheitsgraden.
- Beweis
-
- Beachte
Die Nullhypothese
wird abgelehnt, falls
 |
(93) |
wobei
die in
gegebene Testgröße
ist.
Next: Konfidenzbereiche; Prognose von Zielvariablen
Up: Normalverteilte Störgrößen
Previous: Verteilungs- und Unabhängigkeitseigenschaften linearer
  Contents
Ursa Pantle
2003-03-10